鈦合金管是航空航天、海洋船舶、石油化工和石油勘探中大型設備常用的關鍵機械零件[1,2],該類零件的深孔一般是通過深孔鉆鏜孔工藝或斜軋穿孔及軋制獲得。鉆鏜孔工藝直接利用深孔鉆對鈦合金棒材進行鉆削,材料的利用率不足50%,對于某些大孔徑的薄壁鈦合金管,其利用率更低,不足10%,因此造成大孔徑鈦合金管的加工成本很高[3,4]。斜軋穿孔及軋制是目前無縫管生產中應用較廣的工藝之一,采用該工藝時鈦合金消耗小,但是其設備復雜、周期長、成品率低,且該工藝僅應用于低強度鈦合金的加工,而對于高強度鈦合金管的軋制工藝,目前尚處于研究階段[5-7]。

深孔套料鉆削工藝因斷屑和排屑困難、加工狀況處在半封閉狀態下不便觀察等因素成為深孔加工方面的難題[8,9],對于鈦合金材料加工,更是受到其工藝、剛度、強度、切削刀具的磨損、導向塊磨損和排屑難等諸多因素影響[10-12],使鈦合金深孔套料的加工難度增加,最終出現如排屑出口堵屑、入鉆不穩定、套料過程振動現象嚴重、崩刀現象等問題[13,14],使得鈦合金深孔套料技術成為目前一個重要的難題。
為了解決上述問題,以降低工藝成本,節約原材料和減少機床的功率消耗。本文以大孔徑鈦合金管的加工為背景,設計了大孔徑鈦合金管深孔套料鉆削工藝。
針對大孔徑鈦合金管套料鉆削過程中存在的這些問題,從工藝的角度出發,提出了一定的解決方法,并進行了大孔徑鈦合金深孔套料鉆削試驗,試驗結果表明:采用以環形切削方式在實體材料上進行大孔徑鈦合金管深孔套料鉆削工藝,能節約大量的鈦合金原材料,并且能得到比較高的加工質量。
該工藝的發展為大孔徑鈦合金管的生產提供了新的工藝途徑。與傳統的鉆鏜孔工藝相比,大孔徑鈦合金管深孔套料鉆削工藝具有工藝簡單、材料利用率高、刀具成本低和機床磨損小等優點。
1、深孔套料加工系統
根據鈦合金材料的切削性能特點和工件結構,為了更順暢的排屑,鈦合金深孔套料加工系統采用外排屑深孔套料鉆削系統。該系統主要由深孔鉆鏜床、深孔套料鉆和冷卻排屑系統三大部分組成,如圖1所示。該系統運動方式為工件旋轉、鉆桿進給。切削液通過鉆桿的尾部進入鉆桿內部,經鉆桿內壁和工件的間隙進入套料鉆的頭部進行冷卻潤滑,并將形成的切屑從鉆桿外壁和工件的間隙中排出,所獲得的鈦合金管和芯棒如圖2所示。


2、鈦合金深孔套料關鍵技術
2.1.1深孔套料鉆刀齒材料
鈦合金材料的切削加工性能比較差,切削加工時切削速度比較低,在進行切削加工時,因其切屑呈鋸齒狀而造成了刀具切削力呈周期性變化,且刀具受到的切削沖擊力比較大[15,16],因此,鈦合金材料套料鉆削時,宜選擇強度高、抗沖擊韌性較好的YG8硬質合金作為深孔套料鉆的刀齒材料。YG8硬質合金抗彎強度比較高,且抗沖擊性能和抗振性能都比較好,而其耐磨性能和允許的切削速度卻比較低[17,18]。
2.1.2 深孔套料鉆的結構及幾何參數
深孔套料鉆的結構如圖3所示。對于鈦合金材料,采用單齒外排屑深孔套料鉆比較合適,多齒的深孔套料鉆會產生比單齒深孔套料鉆更大的振動,且多齒深孔套料鉆的刀齒中要加入必要的搭接量勢必要增大切削力,從而間接的增大了切削功率,提高了對機床的要求。

由于鈦合金比強度和熱強度高、切削變形系數和彈性模量小等特點[19,20],宜采用小前角、大后角以及較大的主偏角,使切削刃鋒利耐磨,減小切屑變形。因此選取前角γ0為7°,后角α0為12°,主偏角kr為80°,刃傾角λs為0°。
根據鈦合金材料特性,斷屑槽結構選用圓弧型,其參數為:斷屑臺的寬度Wn為2.5~3.8mm,斷屑臺深度Hn取為0.5~1mm,圓弧半徑Rn一般取為0.5~0.8mm。
為了實現很好的斷屑,刀片采用了軸向階梯分屑方式,在滿足要求孔徑的前提下,盡可能增大芯棒直徑,以便節約材料,但為了更好的斷屑和排屑,采用的單齒刀片為4級階梯式刀片,切削刃總寬度為15mm,由外到內每齒寬度分別為3mm、4mm、4mm、4mm,分屑齒的結構如圖4所示。

2.2 鈦合金深孔套料排屑效果
對鈦合金工件材料進行外排屑深孔套料加工時,由于鉆削用量、刀具結構、切削液流量的不同而出現了不同的切屑形態。當切削速度在14.7~27.0mm/min之間,進給量處于f=0.10~0.15mm/r之間時,排屑和鉆削過程非常穩定,切屑能很好的自動斷屑,能實現長時間的套料加工。
當切削液的流量加大時,不僅能提高加工系統的剛性,還能使切屑自動斷屑的周期變小,長屑變為短屑,但不同的切削液流量對套料鉆的分屑效果影響不是很明顯。因此,在對鈦合金材料進行深孔套料加工時,應加大油路通道的截面面積,加大切削液的流量,使切屑在大流量的切削液作用下能較好的進行斷屑和排屑,使鉆削過程更加平穩。
深孔套料鉆削的排屑過程主要是由高壓切削液將切屑強制帶出,切削液從鉆桿的末端輸入,到達切削部位帶走切屑,再從鉆桿的外側將切屑帶出,如圖5所示。隨著孔的深度的增加,切削液沿程阻力損失和切屑排出的路線就會增加,如果切削液壓力小于或者等于切屑沿途的阻力,就導致帶狀切屑纏繞現象出現,使套料切削過程產生振動、崩刀、打刀,導致套料切削過程無法正常進行。通常情況下,采用加大切削液壓力和流量,強制將切屑從切削區帶走,以減小套料過程中切屑纏繞問題而產生的振動。

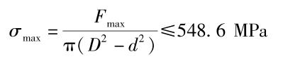
2.3 鉆桿的強度及剛度
在深孔套料加工過程中,采用工件轉動、刀具直線進給的加工方式。在鉆桿向前移動、刀具與工件之間產生擠壓的過程中,鉆桿的前端部會受到工件向后的反作用力,反作用力的大小對于鉆桿是否產生屈服具有一定的影響。因此,為了保證鉆桿在加工過程中不因強度不夠而影響加工,鉆桿的最大工作壓力不得超過40Cr材料的許用壓力,及要求鉆桿的強度條件為

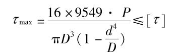
在工件的轉動過程中,工件也會對鉆桿的端部產生反向的扭矩,為了使鉆桿在加工過程中克服此扭矩而產生的屈服失效,因此必須使桿內最大的扭轉切應力不得超過40Cr材料的扭轉許用應力,既滿足鉆桿的扭轉強度條件為

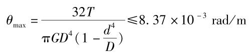
在加工過程中,轉速過大時會使得扭轉角過大,進而會引起強烈的振動,由于振動可導致打刀崩刀現象,因此需要對鉆桿扭轉變形做一定的限制,即滿足鉆桿的扭轉剛度條件

3、鈦合金深孔套料鉆削加工
3.1 加工條件及工藝參數
鈦合金深孔套料采用外排屑深孔加工系統,試樣為TC4棒料,尺寸為230mm×1200mm,如圖6(a)所示。深孔套料鉆直徑為115mm,進給量為f=0.17mm/r、f=0.19mm/r、f=0.20mm/r、f=0.22mm/r,轉速為110r/min、145r/min,切削液流量Q=125L/min、Q=250L/m,切削液壓力2.5MPa。深孔套料加工過程如
圖6b所示。

3.2 加工結果及分析
鈦合金深孔套料加工結果如圖7所示。該試件所有尺寸均達到設計要求。鈦合金管孔壁和芯棒的尺寸精度均可達IT8,表面的粗糙度可達3.2μm。

不同工藝參數組合下所獲得的深孔套料鉆削過程如表1所示。在鈦合金深孔套料過程中,當轉速一定時,隨著進給量的增大,軸向鉆削力和扭矩增大。當轉速為110r/min、進給量為0.2r/min、切削液壓力2.5MPa、切削液流量250L/min時,深孔套料鉆削過程中沒有發生堵屑現象,刀具出現輕微的鈍化,如圖8a所示。但在速大于110r/min、進給量大于0.20mm/r時,發生堵屑現象,并且靠近芯棒的一側發生崩刀,如圖8b所示。

當進給量處于0.19mm/r和0.20mm/r之間時,切屑能實現自動分屑,其切屑形態如圖9a所示,當轉速為110r/min、切削液壓力為2.5MPa、切削液流量為250L/min時,可實現順利排屑,且鉆削過程相對穩定,實現長時間的深孔套料加工。當進給量大于0.22mm/r時,切屑形態為擠裂狀切屑,如圖9b,套料過程中出現劇烈的振動,刀具磨損嚴重,容易造成套料鉆頭出現崩刃現象。

4、結論
通過對TC4鈦合金工件進行批量深孔套料加工,可得出如下結論:
(1)套料加工的軸向力和扭矩要比深孔鉆小,降低了對深孔鉆削機床的功率要求,因而比其它深孔鉆削方式更經濟。
(2)套料鉆幾何參數采用γ0=7°,α0=12°,kr=80°,λs=0°,轉速n=110r/min、進給量f=0.2mm/r、切削液壓力P=2.5MPa、流量Q=250L/min時,鈦合金深孔套料鉆削過程比較平穩,切屑形態比較好。
(3)鈦合金深孔套料加工所形成的切屑形態隨著鉆削用量、刀具結構、切削液流量以及鈦合金材料種類的不同而不同,其中進給量對切屑形態影響最大。
(4)在孔徑一定的條件下隨著鉆削長度的增加,切削液的沿程壓力損失較大,為了切屑的有效排出,必須適當的增加切削液的壓力和流量。在實際加工中,由于冷卻潤滑系統的密封性以及油泵功率的限制,通常采取增加流量Q,來提高加工時的排屑效果。
參考文獻:
[1]房永強,余澤利,白新房,等.TA18鈦合金管收縮應變比的測量不確定度評定[J].塑性工程學報,2021,28(12):230-236.
[2]蔡國帥,朱寶輝,陳勝川,等.冷軋和退火對TC4鈦合金管組織和性能的影響[J].熱加工工藝,2018,47(21):86-88.
[3]劉戰鋒,謝健康.TC4鈦合金深孔(鉆削)套料加工系統及其刀具研究[J].機床與液壓,2019,47(15):114-118.
[4]馮亞洲,黃帥澎,劉雁蜀,等.TA15鈦合金深孔鉆削試驗研究[J].制造技術與機床,2022,(02):39-42.
[5]龐玉華,何威威,劉東,等.TC4鈦合金錐形輥斜軋穿孔曼內斯曼效應[J].塑性工程學報,2020,27(03):109-114.
[6]于浩,黃華貴,鄭加麗,等.無縫鋼管斜軋穿孔頂頭表面缺陷非接觸在線檢測方法[J].中國機械工程,2021:1-8.
[7]張浩澤,余堃,鐘海,等.鑄坯斜軋穿孔制備大口徑TA31鈦合金無縫管材[J].兵器材料科學與工程,2022:1-7.
[8]LiuZ,ZhengW,ZhuH.ResearchonDrillingProcessofDeepHoleTrepanningforTitaniumAlloy(TC4)[J].DEStechTransactionsonComputerSci-enceandEngineering,2017.
[9]柴輝.短電弧套料加工電極頭和電加工參數的研究[D].西安石油大學,2019.
[10]薛虎,李亮.切削液油壓對深孔槍鉆加工Ti6Al4V鈦合金的影響研究[J].工具技術,2020,54(12):60-64.
[11]王宇.機夾式深孔鉆頭鉆削TC4鈦合金試驗及刀具失效研究[D].西安:西安石油大學,2021.
[12]秦聲,密思佩,明偉偉,等.鈦合金深孔鉆削溫度測量及加工表面質量研究[J].機械設計與制造,2021,(07):155-157+162.
[13]劉戰鋒,韓曉蘭.典型難加工材料深孔加工技術[M].北京:科學出報社,2020.
[14]許曉達,李全昆,郁紅波.多芯管套料工藝改進[J].船海工程,2021,50(02):46-49.
[15]LuZ,ZhangD,ZhangX,etal.Effectsofhigh-pres-surecoolantoncuttingperformanceofhigh-speedultra-sonicvibrationcuttingtitaniumalloy[J].JournalofMateralsProcessingTechnology,2020,279:116584.
[16]張俊杰,劉英想,胡王杰,等.TC4鈦合金縱彎超聲振動銑削裝置及其加工性能研究[J].航空制造技術,2022,65(08):14-21.
[17]原瑞澤,閆獻國,陳峙,等.深冷處理對YG8硬質合金/42CrMo鋼釬焊接頭殘余應力的影響[J].金屬熱處理,2021,46(10):204-208.
[18]梁偉印,梁國星,董黎君,等.YG8硬質合金表面激光熔覆WC/TIC/Co涂層的組織及性能[J].金屬熱處理,2021,46(12):168-174.
[19]王瑤,李永剛,李文輝,等.深冷處理對TC4鈦合金滾磨光整加工性能的影響[J].稀有金屬,2021,45(11):1289-1298.
[20]王欣,羅學昆,宇波,等.航空航天用鈦合金表面工程技術研究進展[J].航空制造技術,2022,65(04):14-24.
相關鏈接